
1 概述
MT160儀器是智能型超聲波測厚儀,采用最新的高性能、低功耗微處理器技術,基于超聲波測量原理,可以測量金屬及其它多種材料的厚度,并可以對材 料的聲速進行測量。可以對生產設備中各種管道和壓力容器進行厚度測量,監測它們在使用過程中受腐蝕后的減薄程度,也可以對各種板材和各種加工零件作精確測 量。本儀器可廣泛應用于石油、化工、冶金、造船、航空、航天等各個領域。
2 技術參數
*顯示方法:高對比度的段碼液晶顯示,高亮度EL背光;
*測量范圍:0.75~300mm(鋼中),公制與英制可選擇;
*聲速范圍:1000~9999 m/s:
*分 辨 率:0.1mm /0.01mm
*示值精度: ±(0.5%H+0.04)mm H為被測物實際厚度
*測量周期:單點測量時4次/秒、掃描模式10次/秒;
*存儲容量:可存儲20組(每組最多99個測量值)厚度測量數據。
*工作電壓:3V(2節AA尺寸堿性電池串聯)
*持續工作時間:約100小時(不開背光時)
*外形尺寸:150×74×32 mm
*整機重量:245g
3 主要功能
*適合測量金屬(如鋼、鑄鐵、鋁、銅等)、塑料、陶瓷、玻璃、玻璃纖維及其他任何超聲波的良導體的厚度;
*可配備多種不同頻率、不同晶片尺寸的雙晶探頭使用;
*具有探頭零點校準、兩點校準功能, 可對系統誤差進行自動修正;
*已知厚度可以反測聲速,以提高測量精度;
*具有耦合狀態提示功能;
*有EL背光顯示,方便在光線昏暗環境中使用;
*有剩余電量指示功能,可實時顯示電池剩余電量;
*具有自動休眠、自動關機等節電功能;
*小巧、便攜、可靠性高,適用于惡劣的操作環境,抗振動、沖擊和電磁干擾;
*帶RS232接口,支持現場打印機 ;
4 工作原理
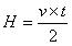
本超聲波測厚儀對厚度的測量,是由探頭產生超聲波脈沖透過耦合劑到達被測體,一部分超聲信號被物體底面反射,探頭接收由被測體底面反射的回波,精確地計算超聲波的往返時間,并按下式計算厚度值,再將計算結果顯示出來。

式中:
H-測量厚度;
v-材料聲速;
t-超聲波在試件中往返一次的傳播時間。
5儀器配置
表1 儀器配置
|
|
序號
|
名稱
|
數量
|
備注
|
|
標準配置
|
1
|
主機
|
1臺
|
|
|
2
|
標準探頭(5MHz)
|
1只
|
|
|
3
|
耦合劑
|
1瓶
|
|
|
4
|
ABS儀器箱
|
1只
|
|
|
5
|
隨機資料
|
1份
|
|
|
6
|
電池倉工具
|
1把
|
|
|
可選配置
|
8
|
粗晶探頭(2MHz)
|
|
|
|
9
|
微徑探頭(7.5MHz)
|
|
|
|
10
|
高溫探頭(5MHz)
|
|
|
|